Activer le mode zen
Ressource au format PDF
Classification
Numérisation d'un signal acoustique : effet de la quantification (partie 1)
07/10/2013
Résumé
Cet article permet d'illustrer de manière sonore le principe de la numérisation d'un signal acoustique lors de l'étape de quantification.
L'article suivant décrira les effets de l'échantillonnage sur ces mêmes signaux audio.
Cet article appartient aux dossier « Traitement du signal ».
Table des matières
1. Quelques rappels sur les étapes de la numérisation d'un signal
La numérisation consiste à transformer un signal analogique qui contient une quantité infinie d'amplitudes en un signal numérique contenant, lui, une quantité finie de valeurs.
Le passage de l'analogique au numérique repose sur trois étapes successives : l'échantillonnage, la quantification, et le codage.
Dans ce deuxième article, on se propose de mettre en avant l'étape de quantification, c'est à dire d'étudier les effets qu'introduisent différents choix de pas de quantification sur un signal donné.
Pour faire le point sur les étapes et la réalisation de la numérisation d'un signal, on pourra revoir les ressources suivantes :
Le choix du pas de quantification correspond à la précision que l'on va accorder au signal. Plus la précision voulue sera grande, plus on aura besoin d'un grand nombre de bits pour coder le signal, plus son poids informatique sera grand.
Dans cet article, on numérise un signal audio.
2. Quantification d'un signal acoustique : application à une seule note
Dans cette première partie, on s'intéresse à un signal audio représentant simplement une note tenue dans le temps. C'est un fa joué à la clarinette (87,3 Hz). Ce signal a préalablement été échantillonné à une fréquence de 11 025 Hz. On va maintenant attribuer une valeur numérique à chacun de ces échantillons.
Source - © 2013 D. Chareyron
Le signal temporel correspondant est présenté sur la figure 1 :
Nous allons maintenant jouer sur différents pas de quantification pour numériser ce signal.
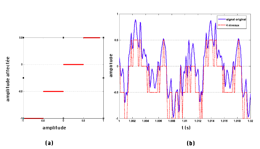
Le signal original a une amplitude normalisée entre 1 et -1. Nous allons quantifier ce signal à l'aide successivement de 2, 3, 4 ,6 et 8 bits.
Le tableau ci-dessous permet de comparer les différents choix de résolution. Dans la partie située à gauche (a), le nombre de niveaux de quantification est présenté sous la forme d'un graphique donnant la valeur affectée au signal numérisé en fonction de l'amplitude du signal original. Dans la partie droite du tableau (b), on présente la supperposition du signal original avec le signal ainsi numérisé.
L'algorithme de quantification procède de la manière suivante : pour chaque valeur du signal original appartenant à l'intervalle [ binf ; bsup [, la valeur affectée au signal numérisé sera binf.
On rappelle qu'avec 1 bit on a accès à deux niveaux : 0 et 1.
Figure 2. Quantification sur 2 bits |
Figure 3. Quantification sur 3 bits |
Figure 4. Quantification sur 4 bits |
Figure 5. Quantification sur 6 bits |
Figure 6. Quantification sur 8 bits |
Afin de percevoir les effets de la précision choisie (entre 2 et 8 bits) lors de l'étape de quantification, nous allons maintenant présenter les signaux numérisés ainsi que leur restitution sonore correspondante.
Figure 7. Signal original Source - © 2013 D. Chareyron
| Figure 8. Signal quantifié sur 2 bits Source - © 2013 D. Chareyron
|
Figure 9. Signal quantifié sur 3 bits Source - © 2013 D. Chareyron
| Figure 10. Signal quantifié sur 4 bits Source - © 2013 D. Chareyron
|
Figure 11. Signal quantifié sur 6 bits Source - © 2013 D. Chareyron
| Figure 12. Signal quantifié sur 8 bits Source - © 2013 D. Chareyron
|
Dans cet exemple nous n'avons traité que de la quantification uniforme, pour laquelle l'erreur de quantification (écart entre le signal original et la valeur affectée au signal numérisé) est la même quelle que soit l'amplitude du signal original. On peut être amené à choisir une quantification de type logarithmique. Cela peut être particulièrement intéressant dans le cas d'un signal pour lequel on veut garder beaucoup de nuances dans les petites amplitudes et moins de précision dans les extrémités, par ce qu'elles sont, par exemple, plus rares. On veut ainsi limiter l'erreur de quantification pour les petites amplitudes.
Dans la pratique, pour un enregistrement sur CDA, l'audio est codé sur 16 bits, c'est à dire 65 536 niveaux. Sur le réseau de téléphonie numérique, la voix est codée sur 8 bits. Dans les DVD audio on alloue 24 bits pour coder le son.
3. Application à d'autres signaux
1. Une mélodie jouée au ukulele
On présente ici simplement la forme d'onde initiale du signal audio et les extraits sonores pour le même nombre de niveaux de codage que dans l'exemple précédent.
Le signal est une mélodie jouée au ukulele. Il a été échantillonné à une fréquence de 44 100 Hz.
Tableau 1. Audio d'une mélodie jouée au ukulele pour différents niveaux de codage (de 2 à 8 bits)
Signal original d'une mélodie jouée au ukulele
| Quantification sur 2 bits d'une mélodie jouée au ukulele
|
Quantification sur 3 bits d'une mélodie jouée au ukulele
| Quantification sur 4 bits d'une mélodie jouée au ukulele
|
Quantification sur 6 bits d'une mélodie jouée au ukulele
| Quantification sur 8 bits d'une mélodie jouée au ukulele
|
Droits réservés - © 2013 Stéphane Arbon (composition et interprétation) | |
2. Un extrait de chanson
Dans ce deuxième exemple, le signal audio est une voix accompagnée à la guitare.
Tableau 2. Audio d'une chanson accompagnée à la guitare pour différents niveaux de codage (de 2 à 8 bits)
Signal original d'une chanson accompagnée à la guitare
| Quantification sur 2 bits d'une chanson accompagnée à la guitare
|
Quantification sur 3 bits d'une chanson accompagnée à la guitare
| Quantification sur 4 bits d'une chanson accompagnée à la guitare
|
Quantification sur 6 bits d'une chanson accompagnée à la guitare
| Quantification sur 8 bits d'une chanson accompagnée à la guitare
|
Droits réservés - © 2013 Stéphane Arbon (interprétation) - Christophe Bardon (composition) | |
Dans l'article suivant, on traitera des effets de l'échantillonnage sur ces mêmes signaux acoustiques.
Pour citer cet article :
Numérisation d'un signal acoustique : effet de la quantification (partie 1), Delphine Chareyron, octobre 2013. CultureSciences Physique - ISSN 2554-876X, https://culturesciencesphysique.ens-lyon.fr/ressource/numerisation-acoustique-Chareyron1.xml



